Přeskočit obsah

Matematika Seminář

Info

Matematika Seminář je předmět nabízený Katedrou matematiky a didaktiky matematiky na Fakultě přírodovědně-humanitní a pedagogické TUL. Seminář se zaměřuje na procvičování a prohlubování znalostí z matematiky, zejména:

  • Goniometrické funkce (sinus, kosinus, tangens, kotangens, jejich grafy a vlastnosti)
  • Kuželosečky (elipsa, parabola, hyperbola, rovnice a geometrické vlastnosti)

Seminář je určen pro studenty, kteří chtějí zlepšit své schopnosti v řešení matematických problémů a připravit se na pokročilejší kurzy. Informace o termínech a přihlášení jsou dostupné na webu Katedry matematiky TUL.

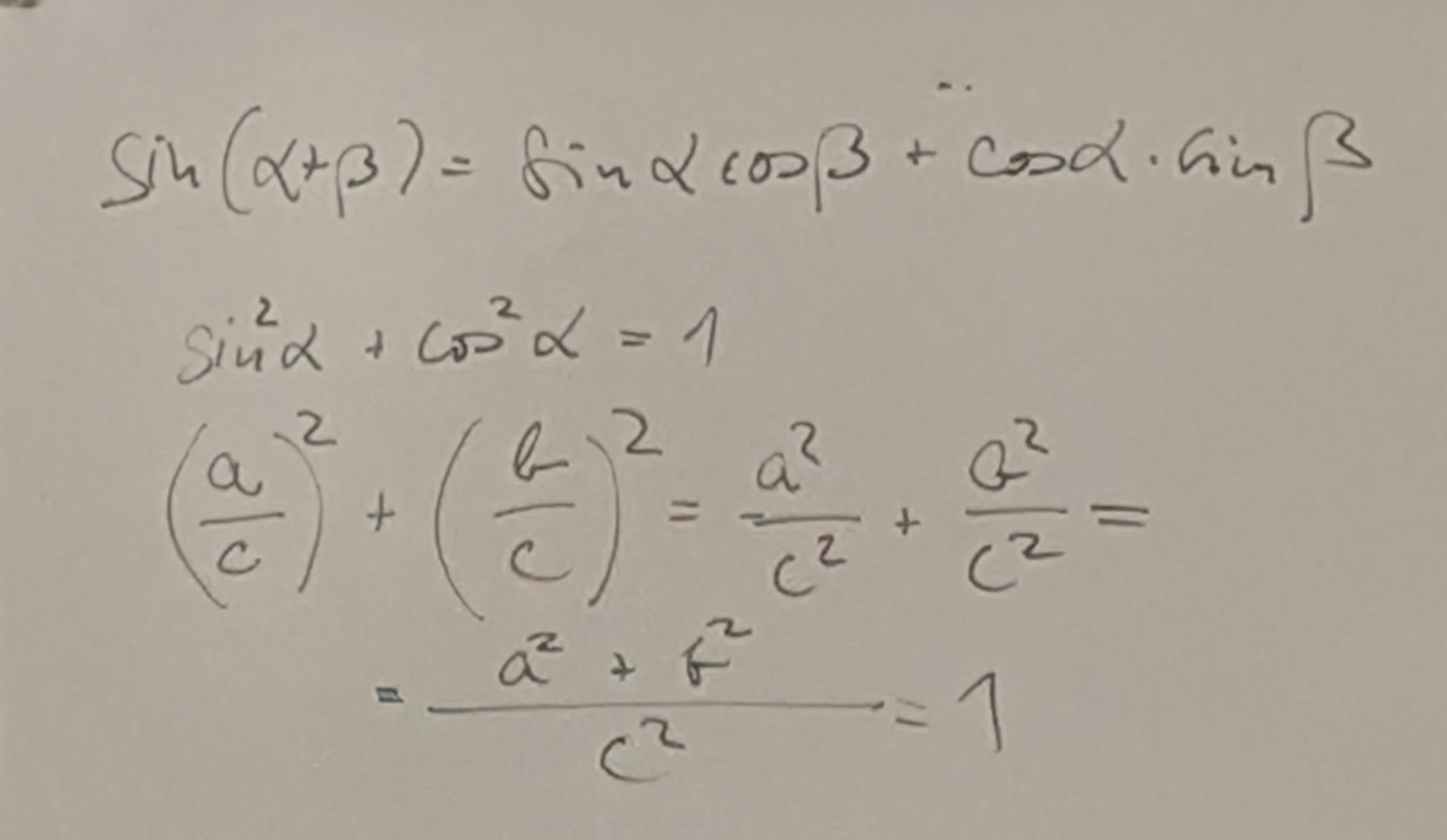
Goniometrické funkce

  • sin - protilehlá/přepona - a/c
  • cos - přilehlá / přepona - b/c
  • tg - přilehlá / protilehlý - a/b
  • tg = sin / cos

Kuželosečky

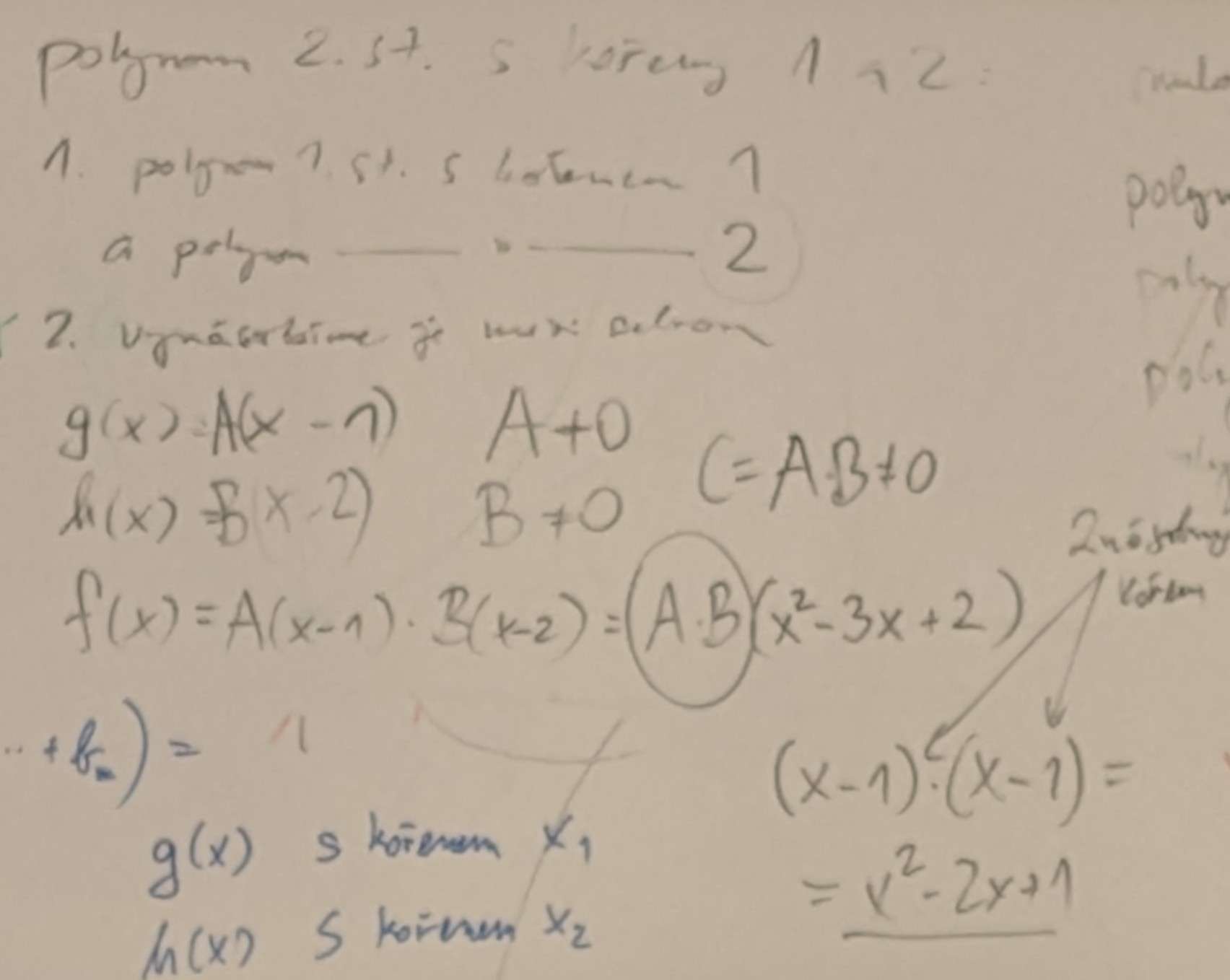
Polynomy

seminar_polynomy.m

clear; clc;

x=0:0.1:3;
y=x.^2-3*x+2;
plot(x, y);
z=0*x;
plot(x,[y;z]);
y=2*y;
plot(x,[y;z]);

polynom.m

function y = polynom(x, a)
    n= length(a)-1;
    y = 0;
    for i = 1:n+1
        y = y + a(i) * x.^(n-i-1);

    end
end
% y = polynom(x, [1, -3, 2]);
% plot(x, [y; z]);

Taylorův polynom

main.m

clc; clear; close all;

% do konzole

x = -4*pi : 0.1 : 4*pi;
d_kratke = [0,1,0,-1,0,1,0,-1,0,1,0,-1];
y = Taylor(x, d_kratke);
plot(x, y);
axis([-4*pi, 4*pi, -2, 2]);
hold on;

z = sin(x);
plot(x,z)
d_dlouhe = [0,1,0,-1,0,1,0,-1,0,1,0,-1,0,1,0,-1,0,1,0,-1,0,1,0,-1,0,1,0,-1,0,1,0,-1,0,1,0,-1];
y = Taylor(x, d_dlouhe);
plot(x, y);

format compact;
sinus(pi);
sin(pi);
sinus(2);
sin(2);
sinus(20);
sin(20);

Taylor.m

function y = Taylor(x, d)
    y=0;
    for i = 1:length(d)
        y=y+d(i)/factorial(i-1)*x.^(i-1);
    end
end

sinus.m

function y = sinus(x)
    z = floor((x/2/pi));
    x = x - 2*pi*z;
    d = [0,1,0,-1,0,1,0,-1,0,1,0,-1,0,1,0,-1,0,1,0,-1,0,1,0,-1,0,1,0,-1,0,1,0,-1,0,1,0,-1];
    y = Taylor(x, d);
end

Gaussova eliminace

matice.m

A = [1, 2, 3; 4, 5, 6; 7, 8, 9];
B = [1, 4, 7; 2, 5, 8; 3, 6, 9];

disp(A+B);
disp(A*B);
disp(B*A);
M = [2, 1, 0, 0; 1, 2, 1, 0; 0, 1, 2, 1; 0, 0, 1, 2];
b = [3;4;4;3];
dips(inv(M));
disp(inv(M)*M);
disp(M*inv(M));
disp(M\b);
disp(M*[1;1;1;1]);

Interpolace, Lagrangeův polynom a Regrese

main.m

clc; clear; close all;

% do konzole

format compact;
x = [1; 2];
y = [1; 2];
V = [x, x.^0];
a = V \ y;
xx = 0:0.1:3;
yy = polynom(xx, a);
plot(xx, yy);
hold on;
plot(x, y, 'ro');

x = [-1; 0; 1];
y = [-1; 0; 1];
V = [x.^2, x, x.^0];
a = V \ y;
xx = -2:0.1:2;
yy = polynom(xx, a);
plot(xx, yy);
hold on;
plot(x, y, 'ro');

x = [-3; -2; -1; 0; 1; 2; 3];
y = [1; 0; 1; 0; 1; -1; 0];
a = interpol(x, y);
xx = -4:0.1:4;
yy = polynom(xx, a);
plot(xx, yy);
hold on;
plot(x, y, 'ro');

x = [-1; 0; 1; 2; 4];
y = [-1; 0; 1; 2; 3];
a = regrese(x, y, 1);
xx = 0:0.1:5;
yy = polynom(xx, a);
plot(xx, yy);
plot(x, y, 'ro');

interpol.m

function a = interpol(x,y)
    V= x.^0;
    for i = 1:length(x)-1
        V = [x.^i, V];
    end
    a = V \ y;
end

polynom.m

function y = polynom(x, a)
    n= length(a)-1;
    y = 0;
    for i = 1:n+1
        y = y + a(i) * x.^(n-i+1);
    end
end

regrese.m

function a = regrese(x, y, s)
    V= x.^0;
    for i = 1:s
        V = [x.^i, V];
    end
    a = V\y;
end

Řešení nelineárních rovnic

Metoda půlení intervalu

main.m

clc; clear; close all;

% do konzole
format compact;
format long;

pulint(0.1, 10, @log, 0.0001);
[x,i]=pulint(3, 10, @log, 0.000001);
[x,i]=pulint(10, 0.1, @log, 0.000001);
[x,i]=pulint(0.1, 10, @log, 0);
[x,i]=pulint(-80, 80, @sind, 0.00001);
[x,i]=pulint(-190, 190, @sind, 0.00001);
[x,i]=pulint(-19000, 19020, @sind, 0.00001)

pulint.m

function [x,i] = pulint(a, b, g, eps)
    if g(a)*g(b) > 0 || (eps <= 0)
        x = NaN;
        i = -1;
        return
    end
    i=0;
    while eps<abs(b-a)
        s = (a+b)/2;
        i = i + 1;
        if g(a)*g(s) > 0
            a=s;
        else
            b=s;
        end
    end
    x=(a+b)/2;
end

Newtonova metoda

main.m

clc; clear; close all;

format long;
format compact;

Newton(0.1, @log, 1e-6, 100, 1e-8)
Newton(91, @sind, 1e-6, 100, 1e-8)
x=-4:0.01:4;
y=sin(x);
z=zderivuj(x,y);
plot(x,z);
hold on;
plot(x, cos(x));
y=x.^2;
z=zderivuj(x,y);
plot(x,z);

Newton.m

function x = Newton(x0, g, eps, maxiter, delta)
    i = 0;
    xi = x0;
    while i < maxiter && abs(g(xi)) > eps
        xi = xi-delta*g(xi)/(g(xi+delta)-g(xi));
        i = i + 1;
    end
    if abs(g(xi)) < eps
        x = xi;
    else
        x = NaN;
    end
end

zderivuj.m

function z = zderivuj(x,y)
    z(length(x))=NaN;
    for i = 1:length(x) - 1
        z(i) = (y(i+1) - y(i)) / (x(i+1) - x(i));
    end
end

Numerické integrování

Obdélníková metoda a lichoběžníková metoda

main.m

clc; close all; clear;

format long;
format compact;

x = 0:1;
y = x;
Integral(x,y);

x = -1:0.0001:1;
y = sqrt(1-x.^2);
2*Integral(x,y);
axis equal;
plot(x,y);

x = 0:0.1:2*pi;
y = cos(x);
z = zintegruj(x,y, 0);
plot(x,z);
hold on;
plot(x, sin(x));

y=sin(x);
z = zintegruj(x,y,0);
plot(x,z);
hold on;
plot(x, -cos(x)+1);

z = zintegruj(x,y,-1);
plot(x,z);
hold on;
plot(x,-cos(x));

Y=zderivuj(x, z);
plot(x, Y);
hold on;
plot(x,y);
x=1:0.01:10;
y=log(x);
z = zderivuj(x,y);
plot(x,z);
hold on;
plot(x,1./x);
Y= 1./x;
Z = zintegruj(x,Y,0);
plot(x,Z);
hold on;
plot(x, log(x));

Integral.m

function I = Integral(x,y)
    I = 0;
    for i = 1:length(x)-1
        I = I + 0.5 * (x(i+1)-x(i)) * (y(i) + y(i+1));
    end
end

zintegruj.m

function z = zintegruj(x,y,c)
    z(1) = c;
    for i = 1:length(x)-1
        z(i+1) = z(i) + 0.5 * (x(i+1)-x(i)) * (y(i) + y(i+1));
    end
end

Matice jako zobrazení

main.m

clc; close all; clear;

x = [0,1,0.9,1,0.9];
y = [0,0,0.1,0,-0.1];
plot(x, y);
axis equal;

% Tohle jsme psali do command line

zobraz(zvetsi(jednanula,2))
zobraz(zvetsi(jednanula,2))
hold on
zobraz(jednanula)
hold on
zobraz(posun(jednanula,[1;0.5]))
zobraz(posun(jednanula,[1;0.5]))
zobraz(posun(zvetsi(jednanula,2),[1;0.5]))
zobraz(zvetsi(posun(jednanula,[1;0.5]),2))
zobraz(otoc(jednanula, pi/3))
zobraz(vektorrofi(5, pi/2))
zobraz(domecek)
format compact
D= [2,0;0,3];
hold on
zobraz(D*domecek)
E=[1,0;0,1];
row1 = [1, -1];
row2 = [1,  1];
S45 = 1/sqrt(2) * [row1; row2];
zobraz(E*domecek)
zobraz(S45*domecek)
zobraz(D*S45*domecek)
zobraz(S45*D*domecek)
F=[3,1;1,3];
zobraz(domecek)
hold on
zobraz(F*domecek)
zobraz(domecek)
zobraz(vektor([-1;1]))
zobraz(vektor(F*[-1;1]))
[V,G] = eig(F);
[V,G] = eig(D);
[V,G] = eig(E);
H = [-3,1;1,3];
[V,G] = eig(H);
zobraz(domecek)
hold on
zobraz(H*domecek)
x=V(:,1);
zobraz(vektor(x))
zobraz(vektor(H*x))
xx=V(:,2);
zobraz(vektor(xx))
zobraz(vektor(H*xx))
zobraz(domecekk)
hold on
zobraz(H*domecekk)
Dd = [2,0;0,0];
[V,G] = eig(Dd);
zobraz(Dd*domecekk)

jednanula.m

function X = jednanula
    X = [0,1,0.9,1,0.9 ; 0,0,0.1,0,-0.1];
end

zobraz.m

function zobraz(X)
    x = X(1,:);
    y = X(2,:);
    plot(x, y);
    axis equal;
end

zvetsi.m

function Y = zvetsi(X,k)
    Y = X * k;
end

posun.m

function Y = posun(X,x0)
    % Y(1,:) = X(1,:) + x0(1);
    % Y(2,:) = X(2,:) + x0(2);
    Y = X+x0;
end

otoc.m

function Y = otoc(X, alfa)
    S=[cos(alfa), -sin(alfa); sin(alfa), cos(alfa)];
    Y=S*X;
end

vektor.m

function Y = vektor(x)
    ro = sqrt(x(1)^2+x(2)^2);
    fi = atan(x(2)/x(1));
    if x(1) < 0
        fi= fi+pi;
    end
    Y = vektorrofi(ro,fi);
end

vektorrofi.m

function Y = vektorrofi(ro,fi)
    Y = otoc(zvetsi(jednanula, ro), fi);
end

domecek.m

function Y = domecek
    Y = [0,1,0,1,0,0,0.5,1,1;0,0,1,1,0,1,1.5,1,0];
end

domecekk.m

function Y = domecekk
    Y = [0,1,0,1,0,0,0.5,1,1,1;0,0,1,1,0,1,1.5,1.5,1,0];
end